Перейти к публикации

Рекомендованные сообщения

Опубликовано:

Про створки капота все уже знают, а сопряжение крыла и фюзеляжа? В чем проблема была?

Опубликовано:

Что бы каждый мог прикинуть время виража ла-5 берём тут вот такую формулу1.jpg.53f8f8a08f74d90897303998efda00ca.jpg

 

нам нужна так называемая истинная воздушная скорость V, её можно получить из скорости по прибору в кабине лётчика, вот тут показан пример расчёта, т.е. эта истинная скорость будет расти с высотой на каждую тысячу метров по 5%, т.е. для васоты 3км она будет превышать приборную скорость на 15%.

Далее нам нужно знать тангенс угла крена с которым совершается вираж, его можно посмотреть тут или же просто сразу сосчитать на калькуляторе.

Вот в общем то и всё, что нужно знать, что бы расчитать время установишегося виража на определённой высоте с определённой скоростью и известным углом крена.

Как пример расчитаем это время для Ла-5 на высоте 3км со скоростью 320 по прибору(учтя ошибку трубки пито в 10% в меньшую сторону) для углов виража в 60 и 70 градусов.

1. Учитываем погрешность трубки Пито: 320-(320/10)=288км/ч

2. Считаем истинную скорость: 288+(288/100х15)=331км/ч

3. Тангенс 60 градусов=1.73  70градусов=2.74

4. Подставляем в формулу 1для 60градусов: 0.177х(331\1.73)=33.8сек   2для 70градусов 0.177х(331/2.74)=21.3сек

2 часа назад, Gavrick сказал:

По виражу цифр в принципе не очень много. Я уже приводил вырезку из отчёта по испытаниям Ла-5 обычного, где вираж 24 секунды на 1 км. Специально сейчас проверил - в симуляторе получилось примерно 23 секунды (но с закрытыми створками капота).

Так а какой там угол крена тогда? Больше 60 градусов значит получается?

  • Спасибо! 3
  • Поддерживаю! 3
Опубликовано:
13 часов назад, Twister26 сказал:

И, вы не ответили, что есть в игре установившейся вираж?

Это вы не разобрались. Здесь имеется в виду выполнение разворота с потерей скорости/изменением высоты. Это не определение. Установившийся/не установившийся в авиационной терминологии означает сохранение или нет скорости с высотой при выполнении того или иного манёвра и только. Угол виража/разворота при этом не играет никакой роли.

12 часов назад, SSP сказал:

Ну так подставте в формулу цифры, только примите 10% искажение трубки Пито в меньшую сторону, т.е. это для лётчика прибор в кабине показывает 320, а в реальности там 288 приборной.

Я вам рассчитал по три варианта скорости, ни в одной из них в 24 секунды попасть не удастся. Вы бы хотя бы свои идеи доводили до конца, сами прикидывали по расчёту что и как.

6 часов назад, SSP сказал:

Так а какой там угол крена тогда? Больше 60 градусов значит получается?

Замечательно, вы сами высчитали и должны были понять, что в методичке по Ла-5 как минимум ошибка в угле крена при выполнении виража. Угол крена будет определяться уже тем, какую тягу будет развивать винт самолёта, уравновешивая силу сопротивления на вираже. Тут вам двух формул не хватит, нужны поляры самолёта, характеристики мотора и винта для прикидычного расчёта.

  • Поддерживаю! 1
Опубликовано:
10 часов назад, [I.B.]ViRUS сказал:

Я вам рассчитал по три варианта скорости, ни в одной из них в 24 секунды попасть не удастся. Вы бы хотя бы свои идеи доводили до конца, сами прикидывали по расчёту что и как.

Замечательно, вы сами высчитали и должны были понять, что в методичке по Ла-5 как минимум ошибка в угле крена при выполнении виража. Угол крена будет определяться уже тем, какую тягу будет развивать винт самолёта, уравновешивая силу сопротивления на вираже. Тут вам двух формул не хватит, нужны поляры самолёта, характеристики мотора и винта для прикидычного расчёта.

Вот поэтому я и ждал ответа от "человека с профильным образованием", потому как считать можно по разному, можно подгонять ответ из методички по пилотированию внося разнообразные поправки на показания приборов, как скорости, так видимо и крена, можно сказать, что данный овет из методички и фильма НИИ ВВС являются правильными, но для форсированного виража и т.д. Но вот подставлять в формулу из методички цифры скорости и крена как есть, тоже как то сомнительно, получается что вираж в таком случае на 3км выполнялся за 38сек. Не многоли для истребителя? Даже данные из немецкого отчёта, но правда по ла-5фн, заявляют от 28-30 сек на высоте 2400м.

  • Поддерживаю! 1
Опубликовано:

Ранняя лавка в игре виражит плохо. ФН вытягивает вираж за счёт более мощного мотора, вираж у неё лучше (при этом воевать на лавке одним только виражом - совершенно не использовать сильные стороны самолёта). В том, что на высоте время виража растёт нет ничего удивительного. Истинная скорость растёт при одной и той же приборной скорости, аэродинамические силы же пропорциональны именно приборной скорости. Т.е. вы одинаковую перегрузку разовьёте на одной и той же приборной скорости, но из-за того, что истинная скорость растёт, возрастает время выполнения виража.

Называется "разнылись", лавка ФН - зверь.

Опубликовано: (изменено)
Только что, [I.B.]ViRUS сказал:

Ранняя лавка в игре виражит плохо. ФН вытягивает вираж за счёт более мощного мотора, вираж у неё лучше (при этом воевать на лавке одним только виражом - совершенно не использовать сильные стороны самолёта). В том, что на высоте время виража растёт нет ничего удивительного. Истинная скорость растёт при одной и той же приборной скорости, аэродинамические силы же пропорциональны именно приборной скорости. Т.е. вы одинаковую перегрузку разовьёте на одной и той же приборной скорости, но из-за того, что истинная скорость растёт, возрастает время выполнения виража.

Называется "разнылись", лавка ФН - зверь.

Мы же тут не о субъективных впечатлениях от игры говорим, а пытаемся разобраться каким самолёт был в реальном мире. Вот Роман приводил в соседней теме некие данные испытаний Ла-5, из того что он показал можно понять, что высота была 1000м,  скорость истинная 316км/ч, время виража 24сек. О чём говорят эти данные, можно ли их использовать как референс, для доказательства характеристик игровой модели? Что значит в игре "время виража предельного", это форсированный вираж или установившийся при полной мощности мотора?

Изменено пользователем SSP
  • Поддерживаю! 1
Опубликовано:
1 час назад, SSP сказал:

можно ли их использовать как референс

да

1 час назад, SSP сказал:

для доказательства характеристик игровой модели?

нет. Можно натянуть характеристики модели, чтобы один параметр сошёлся тютелька в тютельку, но при этом поедут все остальные.

1 час назад, SSP сказал:

Что значит в игре "время виража предельного"

Предельный по перегрузке, то бишь форсированный, неустановившийся.

Опубликовано:
Цитата

кстати из интересного, далее по тексту, есть отзыв ГСС Орехова о самолете, в котором он упоминает, что на его машине уже были установлены свечи ВГ-25

 

20 апреля 1944 года начальник НИИ ВВС генерал-лейтенант инженерной службы Лосюков и начальник 3-го отдела НИИ ВВС инженер-полковник Сафронов писали письмо N 3/0654 гл. инженеру ВВС генерал-полковнику Репину А.К., Шахурину, управление кадров ЦК ВКП(б) генерал лейтенанту авиации Шиманову Н.С.

 

г) Дать указания о дополнительном, срочном выпуске опытной партии авиасвечей АС-130, как наиболее надежных, по сравнению со свечами ВГ-27, ВГ-25 и ВГ-12

 

РГАЭ, ф. 8044, оп. 1, д. 1161

 

 

Весной 1944 года свечи АС-130 прошли войсковые испытания в час­тях 2-й ВА на семи самолетах Ла-5 с моторами АШ-82Ф и девяти самоле­тах Ла-5 с АШ-82ФН. Свечи отрабо­тали от 20 до 50 часов и в течение этого времени обеспечили нормаль­ную работу моторов на всех режи­мах. В результате было принято ре­шение организовать серийное про­изводство свечей АС-130. Таким образом, летом 1944 года острота про­блемы со свечами для мотора АШ-82ФН была снята, хотя и в дальней­шем срок службы свечей АС-130 вы­зывал нарекания.

 

Серов Г. Рождение Ла-5 или развитие и доводка мотора М-82 в годы Великой отечественной войны

 

 

2 декабря 1945 года были представлены на повторные испытания три улучшенных машины Ла-7, причем и на них были обнаружены следующие дефекты и недостатки:

1. Неудовлетворительная работа регулятора смеси и насоса непосредственного впрыска;

2. Трещины выхлопных патрубков;

3. Несинхронное открытие предкрылков;

4. Переохлаждение масла на крейсерском режиме;

5. Отказ свечей;

6. Плохая металлизация самолета;

7. Дальность радиосвязи 90-95 км вместо 110 по ТУ;

8. Дальность радиополукомпаса 100 км вместо 200 по ТУ;

Высокие температуры головок цилиндров при наборе высоты, выходящие за пределы технических условий (261 градусов С и 252 градусов С)

 

РГАЭ, ф. 8044, оп. 1, д. 1483.

Опубликовано:
4 минуты назад, [I.B.]ViRUS сказал:

Предельный по перегрузке, то бишь форсированный, неустановившийся.

Э нет, торописса не надо - Гаврик пишет что Когда пишут время виража, обычно подразумевают именно время установившегося предельного по тяге виража.

В описании ЛТХ самолётов самой игре именно так и написано.

 

Опубликовано: (изменено)
49 минут назад, [I.B.]ViRUS сказал:

да

нет. Можно натянуть характеристики модели, чтобы один параметр сошёлся тютелька в тютельку, но при этом поедут все остальные.

Предельный по перегрузке, то бишь форсированный, неустановившийся.

Да вообще про форсированный разработчики не пишут нигде и везде про предельный каждый раз подчеркивают - предельный по тяге..  Кроме того термины "форсированный и неустановившийся" им определённо знакомы и сомнительно, что форсированный тут стали бы называть предельным..

 

А вот исторические показатели виража может и относились все таки к форсированному виражу. 

Изменено пользователем =VP=Red_Pilot
  • 1CGS
Опубликовано:
21 час назад, SSP сказал:

 

Что бы каждый мог прикинуть время виража ла-5 берём тут вот такую формулу

Прекрасно, это чуть упрощённый вариант формулы для расчёта времени виража.

21 час назад, SSP сказал:

Как пример расчитаем

Вы только что получили практически те же цифры, что и я. Разница - из-за погрешностей при переводе приборной скорости в истинную и округлений в формуле.

Теперь предлагаю рассчитать также вариант из РЛЭ с приборной скоростью 340 км/ч.

А так же вираж с креном 45 градусов из "техники пилотирования" и сравнить время.

21 час назад, SSP сказал:

Так а какой там угол крена тогда? Больше 60 градусов значит получается?

Около 64 градусов.

3 часа назад, SSP сказал:

внося разнообразные поправки на показания приборов, как скорости, так видимо и крена,

"Поправок на крен" не бывает. В вираже крен однозначно связан с перегрузкой, ny = 1/cos(крен). Почему так - потому что это вытекает из условия равенства сил, иначе высота в вираже изменялась бы.

3 часа назад, SSP сказал:

Но вот подставлять в формулу из методички цифры скорости и крена как есть, тоже как то сомнительно, получается что вираж в таком случае на 3км выполнялся за 38сек.

И опять-таки переходим к вопросу - какой вираж нас интересует. Нам интересен установившийся вираж, предельный по тяге. Чем больше у нас перегрузка, тем большее сопротивление у самолёта, и тем большую тягу нужно иметь, чтобы не терять скорость. Поэтому выполнять вираж с креном, большим, чем некое граничное значение, мы сможем только с потерей скорости - это и будет крен, а значит, и перегрузка для предельного по тяге установившегося виража. То есть, например, если выполнить установившийся вираж с креном, допустим, 60 градусов самолёт может, 65 - может, а 66 - не может, не хватает тяги, то вираж с креном 65 будет предельным по тяге. При этом установившееся виражи с креном меньше, чем 65 градусов в таком случае на полном газу выполнить будет нельзя - самолёт будет разгоняться.

3 часа назад, SSP сказал:

Даже данные из немецкого отчёта, но правда по ла-5фн, заявляют от 28-30 сек на высоте 2400м.

Это откуда цифры, не припомню? К слову, получается, в симуляторе вираж у ФН лучше, чем из этого некоего отчёта.

1 час назад, SSP сказал:

что высота была 1000м,  скорость истинная 316км/ч, время виража 24сек.

Индикаторная скорость. Режим двигателя - номинал, 950/2400.

1 час назад, SSP сказал:

О чём говорят эти данные

О том что на высоте 1000м, на скорости 316 км/ч, самолёт выполняет вираж за 24 секунды на номинальном режиме работы двигателя.

1 час назад, SSP сказал:

можно ли их использовать как референс

Нужно.

1 час назад, SSP сказал:

Что значит в игре "время виража предельного"

Чем предельный по тяге вираж отличается от форсированного, я уже кажется в третий раз пишу выше.

 

 

  • Спасибо! 2
Опубликовано:
1 час назад, [I.B.]ViRUS сказал:

да

нет. Можно натянуть характеристики модели, чтобы один параметр сошёлся тютелька в тютельку, но при этом поедут все остальные.

Я думаю, что натягивать ничего не надо, но только если в точности известны все параметры испытаний, тогда вполне можно сравнить игровую модель с этими данными, но вот пытаться натягивать эти данные на игровую модель в условиях отличных от данных испытаний реального самолёта действительно не стоит. т.е. например, характеристики игровой модели в форсированном вираже на форсаже, думаю очень трудно увязать с данными реального самолёта полученными на номинале двигателя в установившемся вираже и при этом не получить ошибку.

Цитата

Предельный по перегрузке, то бишь форсированный, неустановившийся.

 Я тоже так бы подумал, но ниже говорят, что это не так.

Опубликовано:
Цитата
Цитата

 

 

55 минут назад, Gavrick сказал:

Вы только что получили практически те же цифры, что и я. Разница - из-за погрешностей при переводе приборной скорости в истинную и округлений в формуле.

Теперь предлагаю рассчитать также вариант из РЛЭ с приборной скоростью 340 км/ч.

А так же вираж с креном 45 градусов из "техники пилотирования" и сравнить время.

Так нет в этом смысла, если не известно как считали те, кто эти документы составлял. Так опять можно будет заявлять, что результаты противоречат физике.

Цитата

Около 64 градусов.

Больше похоже на 67 градусов.

Цитата

"Поправок на крен" не бывает. В вираже крен однозначно связан с перегрузкой, ny = 1/cos(крен). Почему так - потому что это вытекает из условия равенства сил, иначе высота в вираже изменялась бы.

А как в то время проводились испытания на время виража? Вряд ли лётчик испытатель на глаз определял крен машины, так, на глаз, трудно выдерживать определённый угол. Может в таком случае устанавливали какой нибудь прибор угломер с которым сверялся лётчик и у этого прибора могли быть небольшие ошибки в показаниях? Может быть есть какие нибудь документы в которых детально показано как это происходило?

Цитата

И опять-таки переходим к вопросу - какой вираж нас интересует. Нам интересен установившийся вираж, предельный по тяге. Чем больше у нас перегрузка, тем большее сопротивление у самолёта, и тем большую тягу нужно иметь, чтобы не терять скорость. Поэтому выполнять вираж с креном, большим, чем некое граничное значение, мы сможем только с потерей скорости - это и будет крен, а значит, и перегрузка для предельного по тяге установившегося виража. То есть, например, если выполнить установившийся вираж с креном, допустим, 60 градусов самолёт может, 65 - может, а 66 - не может, не хватает тяги, то вираж с креном 65 будет предельным по тяге. При этом установившееся виражи с креном меньше, чем 65 градусов в таком случае на полном газу выполнить будет нельзя - самолёт будет разгоняться.

Спасибо, вполне доходчиво объяснено.

Цитата

Это откуда цифры, не припомню? К слову, получается, в симуляторе вираж у ФН лучше, чем из этого некоего отчёта.

Из отчёта немецкого испытателя, который широко распространён на многих сайтах, где даётся описание Ла-5фн. Немецкого оригинала я правда не видел, но думаю перевод сделан правильно, например тут приводится и угол крена в 67 градусов для виража на 2400м. Самолёт кстати всего скорее является ФНкой как раз первых серий, жаль номер заводской не указан(это к вопросу о рулях высоты), но делать по немецким данным наш самолёт, видимо тоже самое, что немецкий по нашим, и не потому что врали испытатели, а состояние машин и умение пользоваться чужой техникой оставляли желать лучшего.

Цитата

Индикаторная скорость. Режим двигателя - номинал, 950/2400

Получается форсаж не использовали. А как бы время этого виража изменилось с включением форсажа?

Цитата

Чем предельный по тяге вираж отличается от форсированного, я уже кажется в третий раз пишу выше.

Так может тогда лучше изменить название в игре на более понятное, что это устоявшийся вираж с включением форсажа на такой то высоте? Тогда и вопросов бы не было.

Опубликовано: (изменено)

Давайте попробуем примерно прикинуть время вмража Ла-5 на 1000 метров и 2400м, а так же сравнить его с данными Ла-5фн из немецкого отчёта. Мы имеем следующие данные:
Для Ла-5 (мотор М-82)
1.Высота 1000м, скорость истинная 316км\ч, время установившегося виража 24сек, крен (вероятно) 67градусов, режим двигателя номинал-наддув950 обороты2400(форсаж не включен).
Для Ла-5фн (мотор М-82ФН)
1.Высота 2400м, скорость(видимо приборная)320км/ч, время установившегося виража 28-30сек, крен 67градусов, режим двигателя крейсерский(видимо имеется ввиду те же 950-1000/2400).
2.Высота 1000м скорость неизвестна, время установившегося виража 25сек, крен не известнен, режим двигателя-форсаж.
Так же воспользуемся графиком из книги "Авиационный мотор АШ-82ФН" издания 1947г.

1.jpg.015425326e5fa81af850ee2e903f384f.jpg

Исходя из этих данных давайте подумаем как бы могло измениться время виража у Ла-5 при включении форсажа на высоте 1000м по сравнению с известным нам результатом в 24сек. для двигателя работавшего на номинальном режиме? Из графика мы видим, что мощность двигателя при включении форсажа увеличится примерно на 270л.с. на высоте 1000м. Т.е. лётчику придётся для сохранения истинной скорости в 316км/ч увеличивать крен самолёта, по сравнению с исходными 67градусами. Если предположить, что этот крен составит 70градусов, тогда время виража примерно будет=0.177х(316/2.74)=20.5сек. Теперь давайте прикинем время виража Ла-5 на высоте 2400м на номинальном режиме работы мотора. Считаем истинную скорость для 2400м, она будет=316\100х7=338км/ч.

Имеем Vi=338км/ч, крен 67градусов, подставляем в формулу 0.177х(338\2.35)=25.5сек. По приблизительным прикидкам у нас получается, что Ла-5(мотор М-82) имеет следующие характеристики установившегося виража:
1) Высота 1000м, режим работы двигателя номинал, время виража 24сек.
2) Высота 1000м, режим работы двигателя форсаж, время виража 20.5сек.
3) Высота 2400м, режим работы двигателя номинал, время виража 25.5сек.
Теперь давайте обратимся к немецкому отчёту по Ла-5фн, сразу оговорившись, что самолёт был далеко не новым, явно и двигатель был близок к выработке своего ресурса, значит вполне возможно его мощность была меньше чем у нового мотора. Во первых обращает на себя внимание разница во времени для установившегося виража на 1000м для форсажного режима работы двигателя. У немцнв в отчёте для Ла-5фн она 25сек, а у нас по примерной прикидке для Ла-5 получилось 20.5сек(ну пусть будет 21сек). Мощность на высоте 1000м у двигателей примерно одинаковая(у ФН чуть больше) Далее сравним время установившегося виража на 2400м, по немецким данным это 28-30сек (возьмём меньшую цифру), по нашему расчёту для Ла-5 25.5сек(пусть будет 26сек). Имеем

28 против 26сек. Какие можно сделать выводы? Или я чего то не понимаю, или у немцев на Ла-5фн стоял уже очень убитый мотор, который значительно уступал в мощности новому мотору.
Если в моих расчётах и прикидках есть какие то ошибки, то всех заметивших это, прошу указать на них.

Изменено пользователем SSP
  • Нравится 1
Опубликовано:

И ещё такой вопрос, как в документах тех лет обозначали истинную и индикаторную скорость, Vi-это какая всё таки из них? Вопрос вызван данными представленными Романом по Ла-5

la5_1.jpg

Опубликовано:

В отчете немцев 520 км/ч та ФНка выдавала на форсаже, т.е. это примерно 1260 л.с. выдавал мотор.

  • Нравится 1
Опубликовано: (изменено)
Только что, Makz сказал:

В отчете немцев 520 км/ч та ФНка выдавала на форсаже, т.е. это примерно 1260 л.с. выдавал мотор.

Если расчёт мощности мотора из скорости правильный, то мотор был действительно убитый. Может всё таки на номинале, мотор тогда конечно тоже далеко не новьё, но это как то больше похоже на правду.

Изменено пользователем SSP
Опубликовано:

Не надоело ? 12 страниц - споры, акты, расследования. Как будто, что-то изменится. Из года в год споры, а толку.

Опубликовано:

Джокер, а ты хотел, чтобы от форумных "споров-расследований" в симуляторе постоянно "что-то изменялось" туда-сюда? Чтобы потом ты же нам написал, что мы постоянно ФМ крутим, идя на поводу игроков? Тебе изменений, или точности модели, ты уж определись? Рома абсолютно грамотно тут отвечает, вместо "спорить" рекомендую понять, что он пишет.

 

P.S. Vi - индикаторная (не путать с IAS - приборной)

 

 

  • Поддерживаю! 1
Опубликовано: (изменено)
Только что, AnPetrovich сказал:

Джокер, а ты хотел, чтобы от форумных "споров-расследований" в симуляторе постоянно "что-то изменялось" туда-сюда? Чтобы потом ты же нам написал, что мы постоянно ФМ крутим, идя на поводу игроков? Тебе изменений, или точности модели, ты уж определись? Рома абсолютно грамотно тут отвечает, вместо "спорить" рекомендую понять, что он пишет.

 

P.S. Vi - индикаторная (не путать с IAS - приборной)

 

 

Андрей Петрович, а точно индикаторная(приборная с учётом поправок на погрешность приборов) а не истинная, может опечатка какая? Больно уж она хорошо подходит для расчётов как истинная. Если в моих примерных подсчётах нет ошибки, то получаются результаты очень похожие на данные из методички и фильма НИИ ВВС, где время установившегося виража равно 22сек. для 3000м и 25сек. для 5000м у самолёта Ла-5 с двигателем М-82. Так если скорость в 316км/ч из документа выложенного Романом принять за истинную, а не индикаторную, а крен самолёта при вираже за 70градусов, то можно сделать вот такие расчёты:
1.Скорость истинная на высоте 3000м будет=316+(316\100х10)=348км\ч
2.Скорость истинная на высоте 5000м будет=316+(316\100х20)=379км\ч
3.Время установившегося виража на высоте 3000м на форсаже при крене 70градусов=0.177х348\2.74=22.5сек
4.Время установившегося виража на высоте 5000м на форсаже при крене 70градусов=0.177х379\2.74=24.5сек
Данные как видно очень похожи на результаты расчётов.

P/S Свыше 2000м форсаж уже видимо роли не играет, судя по графику он только до 2100м высоты что то даёт мотору.

Изменено пользователем SSP
Опубликовано:
21 минуту назад, AnPetrovich сказал:

Джокер, а ты хотел, чтобы от форумных "споров-расследований" в симуляторе постоянно "что-то изменялось" туда-сюда?

Я об этого даже не жду.

22 минуты назад, AnPetrovich сказал:

Чтобы потом ты же нам написал, что мы постоянно ФМ крутим, идя на поводу игроков?

Хоть раз такое было ? Или это личная фантазия ?

23 минуты назад, AnPetrovich сказал:

Тебе изменений, или точности модели, ты уж определись ?

Мне как и большинству любителям авиации хотелось бы, чтобы самолёты летали как самолёты (из металла и древесины), чтобы пушки/пулемёты наносили урон как пушки и пулемёты, чтобы человек сидящий за штурвалом был не терминатором, а живым существом превознемогающий перегрузки и погибающий от столкновений на скорости как в воздухе так и на земле.

29 минут назад, AnPetrovich сказал:

Рома абсолютно грамотно тут отвечает, вместо "спорить" рекомендую понять, что он пишет.

Про Рому не слова, а только респект как говорится. 

 

Петрович, я обеими руками за развитие данной серии игры. Но так же обеими руками против того, что люди которые делают предзаказ (поддержка т.с.) теряют веру в команду. В итоге там "чудеса", тут "чудеса" после патчей. Кто-то пытается что-то донести - бан, объяснить - бан. Да согласен, есть и быки которые переходят на личности и оскорбления, но людей которые понимают и не из танкистов (пардон представителям) зачем же ?

Чтобы не возникало подобных недопониманий, объявите сообществу: - Да, это игра и не более. Или: - Мы стараемся сделать игру достойным авиасимулятором.

Лишний пост конечно здесь и тему засоряет, но хотел донести т.с.

  • Спасибо! 1
  • В замешательстве 1
  • Поддерживаю! 4
Опубликовано:

Доносить можно разными способами. SSP почему-то никто не забанил, например. А всяких "я не в курсе, но у вас всё неправильное, вы меня обманули" действительно отчего-то забанили. 

И так-то априори стоило бы понимать, что вы покупаете обыкновенную игрушку, с какой бы саморекламой она не была. Это не антикварный салон, где за несоответствие можно обрести проблемы. 

Опубликовано:
3 часа назад, SSP сказал:

Давайте попробуем примерно прикинуть время вмража Ла-5 на 1000 метров и 2400м, а так же сравнить его с данными Ла-5фн из немецкого отчёта. Мы имеем следующие данные:
Для Ла-5 (мотор М-82)
1.Высота 1000м, скорость истинная 316км\ч, время установившегося виража 24сек, крен (вероятно) 67градусов, режим двигателя номинал-наддув950 обороты2400(форсаж не включен).
Для Ла-5фн (мотор М-82ФН)
1.Высота 2400м, скорость(видимо приборная)320км/ч, время установившегося виража 28-30сек, крен 67градусов, режим двигателя крейсерский(видимо имеется ввиду те же 950-1000/2400).
2.Высота 1000м скорость неизвестна, время установившегося виража 25сек, крен не известнен, режим двигателя-форсаж.
Так же воспользуемся графиком из книги "Авиационный мотор АШ-82ФН" издания 1947г.

1.jpg.015425326e5fa81af850ee2e903f384f.jpg

Исходя из этих данных давайте подумаем как бы могло измениться время виража у Ла-5 при включении форсажа на высоте 1000м по сравнению с известным нам результатом в 24сек. для двигателя работавшего на номинальном режиме? Из графика мы видим, что мощность двигателя при включении форсажа увеличится примерно на 270л.с. на высоте 1000м. Т.е. лётчику придётся для сохранения истинной скорости в 316км/ч увеличивать крен самолёта, по сравнению с исходными 67градусами. Если предположить, что этот крен составит 70градусов, тогда время виража примерно будет=0.177х(316/2.74)=20.5сек. Теперь давайте прикинем время виража Ла-5 на высоте 2400м на номинальном режиме работы мотора. Считаем истинную скорость для 2400м, она будет=316\100х7=338км/ч.

Имеем Vi=338км/ч, крен 67градусов, подставляем в формулу 0.177х(338\2.35)=25.5сек. По приблизительным прикидкам у нас получается, что Ла-5(мотор М-82) имеет следующие характеристики установившегося виража:
1) Высота 1000м, режим работы двигателя номинал, время виража 24сек.
2) Высота 1000м, режим работы двигателя форсаж, время виража 20.5сек.
3) Высота 2400м, режим работы двигателя номинал, время виража 25.5сек.
Теперь давайте обратимся к немецкому отчёту по Ла-5фн, сразу оговорившись, что самолёт был далеко не новым, явно и двигатель был близок к выработке своего ресурса, значит вполне возможно его мощность была меньше чем у нового мотора. Во первых обращает на себя внимание разница во времени для установившегося виража на 1000м для форсажного режима работы двигателя. У немцнв в отчёте для Ла-5фн она 25сек, а у нас по примерной прикидке для Ла-5 получилось 20.5сек(ну пусть будет 21сек). Мощность на высоте 1000м у двигателей примерно одинаковая(у ФН чуть больше) Далее сравним время установившегося виража на 2400м, по немецким данным это 28-30сек (возьмём меньшую цифру), по нашему расчёту для Ла-5 25.5сек(пусть будет 26сек). Имеем

28 против 26сек. Какие можно сделать выводы? Или я чего то не понимаю, или у немцев на Ла-5фн стоял уже очень убитый мотор, который значительно уступал в мощности новому мотору.
Если в моих расчётах и прикидках есть какие то ошибки, то всех заметивших это, прошу указать на них.

Вижу у себя ошибку, расчитывать время установившегося виража на высоте 2400м для Ла-5(двигатель М-82) на режиме номинал при крене 67градусов не нужно, на этой высоте толку от форсажа уже нет. Получается на мой взгляд такая картина, самолёт Ла-5 имеет оптимальные характеристики в установившемся вираже при крене близком к 70градусам, если мощности двигателя не хватает для поддержания такого угла, самолёт начинает терять высоту, лётчик должен уменьшить угол. У Ла-5фн из немецкого отчёта мощности двигателя хватило на поддержание крена в 67градусов, т.к. мотор был уже не новый.

Опубликовано:

Тут, на сайте в теме где даются ЛТХ техники из игры, для Ла-5 характеристики виража заявлены как:

Время виража предельного по тяге у земли: 23.4 с, на скорости 270 км/ч по прибору

Время виража предельного по тяге на высоте 3000 м: 35.3 с, на скорости 270 км/ч по прибору

Для Ла-5фн

Время виража предельного по тяге у земли: 21,0 с, на скорости 320 км/ч по прибору

Время виража предельного по тяге на высоте 3000 м: 28,0 с, на скорости 340 км/ч по прибору

Показания по прибору вызывают вопросы. В игре смоделирована эта самая ошибка на показания приборов? Если да, то нужна ли она вообще для игры? Т.е. такая значительная разница от 270км/ч у Ла-5 до 340км/ч у Ла-5фн как то сомнительна. Так же вызывает сомнение и разница в приборной скорости от 320 до 340км\ч  на разных высотах для Ла-5фн, у разных самолётов она ещё объяснима, но как она может быть у одного и того же самолёта? Нет ли тут опечатки? Если взять данные представленные Романом для Ла-5 и принять скорость 316км/ч за истинную, то индикаторная скорость будет=316-(316/100х5)=300км/ч, скорость по прибору в методичке по технике пилотирования для Ла-5=320км/ч , поэтому очень похоже, что у игровой Ла-5 были бы более правдоподобны вот такие данные:

Скорости по прибору в установившемся вираже:

1.Для 1000м. Скорость приборная 320, индикаторная 300, истинная 316км/ч

2.Для 3000м. Скорость приборная 320, индикаторная 300, истинная 348км/ч

3.Для 5000м. Скорость приборная 320, индикаторная 300, истинная 380км/ч

И вряд ли эти данные сильно отличались у Ла5фн, в немецком отчёте ведь тоже даётся 320км/ч всего скорее как приборная скорость.

Опубликовано:

Уважаемый SSP зачем вы это делаете? Меня забанили, когда я сказал, что :"под немецкий расчет все сделано" (с) нарушение п. 17  Правил

я например верю, больше нашему видео пособию, чем немецким расчетам, думаю разницу в 13 сек заметили бы.  На многих форумах, где  нет УВП БЖС уже собрался большой материал :(

2019-04-11_093133.jpg

Опубликовано:
26 минут назад, ROSS_Ratibor сказал:

Уважаемый SSP зачем вы это делаете? Меня забанили, когда я сказал, что :"под немецкий расчет все сделано" (с) нарушение п. 17  Правил

я например верю, больше нашему видео пособию, чем немецким расчетам, думаю разницу в 13 сек заметили бы.  На многих форумах, где  нет УВП БЖС уже собрался большой материал :(

Так ведь в немецком отчёте нет ничего плохого, они не занижали сознательно ТТХ Ла-5фн, в этом нет никакого смысла. Зачем вообще проводить испытания трофейной техники, если результаты потом сразу же фальсифицировать? Это в какой нибудь пропагандистской газетёнке можно соврать, а в отчёте испытателя это бессмысленно. На самом деле немецкий отчёт хорошо ложится в данные по Ла-5 с испытаний НИИ ВВС(которые выкладывал Роман), только нужно понимать, что двигатель у немцев был уже отработаный, положенной мощности не выдавал, всего скорее он на форсаже был чуть хуже чем новый двигатель М-82 на номинальном режиме. И немецкие 25сек на форсаже на 1000м хорошо совпадают с данными наших испытаний, где у Ла-5 на номинале на 1000м 24сек.

  • 1CGS
Опубликовано:
42 минуты назад, ROSS_Ratibor сказал:

Уважаемый SSP зачем вы это делаете? Меня забанили, когда я сказал, что :"под немецкий расчет все сделано" (с) нарушение п. 17  Правил

 

За какой пост вас забанили - есть в вашей цитате выше (тем кому интересно - могут прочитать дословно), но вы, похоже - с первого раза не понимаете, и правил форума - не читали, поэтому:

 

7 суток РО за нарушение п.6 правил форума.

 

PS: т.к. я вроде как не нянька, в вы, судя по всему - взрослый человек (?), следующее предупреждение - оно-же будет окончательным.

  • Нравится 1
  • Расстроен 1
  • Поддерживаю! 2
  • 4 недели спустя...
Опубликовано:

Хочется снова вернуться к Ла-5ФН. Недавно летая на сервере, мы обратили внимание на надпись в техночате при запуске Ла-5ФН "краник карбюратора открыт" и "краник карбюратора закрыт". В быстром вылете сегодня проверил: действительно, в кабине Ла-5ФН присутствует краник карбюратора, и выполнен а его анимация на открытие/закрытие в процессе запуска. (на скриншоте обозначен выделением и стрелкой)La-5fn.thumb.jpg.9198fe2fa82224f21beea1b46461cc2c.thumb.jpg.66ad8027709b8f3646389a6db6220397.jpg

Насколько нам известно из доступной в сети литературы (нет, конечно мы возможно не видели закрытой документации, или согласно каких-нибудь справочников на ранних сериях такое возможно и было ), мотор Ла-5ФН М-82ФН не имеет карбюратора, а оснащен агрегатом непосредственного впрыска НБЗ-ФА. Поскольку карбюратора на данном моторе нет, то и краника карбюратора тоже по идее быть не должно!

Ниже выдержки из Методических указаний по технике пилотирования самолёта Ла-5 с мотром М-82, краник есть в описании процедуры запуска мотора:

La-5.jpg.503dc3880d7feb884564d52c657d470f.thumb.jpg.9d01560a762ef409c7d4fb96d15342ea.jpg

А в Инструкции лётчику по эксплуатации самолёта Ла-5 с мотром  М-82ФН в описании процедуры запуска двигателя краник отсутствует, кроме того он отсутствует и в описании оборудования кабины Ла-5ФН:

La-5fn-1.jpg.8c4f24f5b1ffee98eb8d7dba93b43240.thumb.jpg.5d747430a5ae0eef598a0b2bd1d9b5e9.jpgLa-5fn-2.thumb.jpg.79cc27ea3fb58276f27d33876b596cb5.thumb.jpg.649879fae40655e357da7566444891f4.jpgLa-5fn-3.thumb.jpg.6c85e600bdc76ef2f29918caa4442cbf.thumb.jpg.7867701aa41dbfc4e937242cc96989d2.jpg

Дальше не получается вставить иллюстрации по процедуре запуска из-за ограничения объема медиа файлов, но там можете поверить, там и дальше нет ни слова про карбюратор.

В общем просьба дать пояснения по поводу наличия краника карбюратора в кабине модели самолёта Ла-5ФН и его участия в процедуре запуска самолёта.

  • Поддерживаю! 9
  • 1CGS
Опубликовано:
10.05.2019 в 14:12, =2ndSS=Lawyer1 сказал:

В общем просьба дать пояснения по поводу наличия краника карбюратора в кабине модели самолёта Ла-5ФН и его участия в процедуре запуска самолёта.

 

Это косяк, поправим.

 

PS: в модели двигателя карбюратора естественно нет.

  • Нравится 1
  • Спасибо! 2
  • 3 месяца спустя...
Опубликовано: (изменено)
16.04.2019 в 15:20, ROSS_Ratibor сказал:

"под немецкий расчет все сделано" (с)

 

16.04.2019 в 15:58, SSP сказал:

Так ведь в немецком отчёте нет ничего плохого, они не занижали сознательно ТТХ Ла-5фн, в этом нет никакого смысла. Зачем вообще проводить испытания трофейной техники, если результаты потом сразу же фальсифицировать?

 

Про какой немецкий отчёт вы говорите? Где сканы первоисточника на немецком?

Если вы про "отчёт Лерхе" то это бородатая пост перестроечная шляпа из журнала "Аэрохобби" №1 1993 год, Киев. =)) 

Эту информацию всерьез воспринимать и сравнивать с официальными фильмами и документами НИИ ВВС и т.п. - идиотизм.

Пока данные из фильма НИИ и методических указаниях по пилотированию Ла-5, выглядят более убедительно.

А про 24 секунды у Ла-5 говорится только в Хронологии, причём там 23-24 секунды. И это самолёт первой или второй серии, а эти машины не были доведены еще до нормальной эксплуатации, и имели многочисленные дефекты. Например у самолёта самопроизвольно в полёте уходила назад ручка газа, приходилось её удерживать и т.д.

В игре Ла-5 восьмой серии, а не первой.

Изменено пользователем Twister26
  • Нравится 1
  • Поддерживаю! 2
  • 3 недели спустя...
Опубликовано:
23.08.2019 в 15:59, Twister26 сказал:

 

 

Про какой немецкий отчёт вы говорите? Где сканы первоисточника на немецком?

Если вы про "отчёт Лерхе" то это бородатая пост перестроечная шляпа из журнала "Аэрохобби" №1 1993 год, Киев. =)) 

Эту информацию всерьез воспринимать и сравнивать с официальными фильмами и документами НИИ ВВС и т.п. - идиотизм.

Пока данные из фильма НИИ и методических указаниях по пилотированию Ла-5, выглядят более убедительно.

 

Я не вижу в этом никакого идиотизма, этот отчёт хорошо ложиться в данные по испытаниям Ла-5, на которые ссылался Гаврик и вполне сходится с данными НИИ ВВС из докфильмов, если учитывать, что мотор у "немецкой" лавки был уже не новый. Перечитайте ещё раз мои посты и сам отчёт.

  • 2 недели спустя...
Опубликовано:
13.09.2019 в 21:51, SSP сказал:

этот отчёт 

 

Пока, на данный момент, это фейк ньюс из васянского журнала про авиацию, начала 90х, а не отчёт

 

13.09.2019 в 21:51, SSP сказал:

сходится с данными НИИ ВВС из докфильмов,

 

Ну если для вас вираж на высоте 1000 метров и 5000 метров это одно и тоже, причем на разных самолётах то.....

Очередная демагогия с вашей стороны.

 

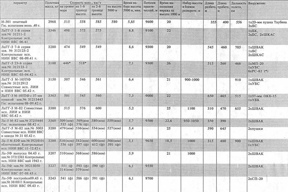
Вот как должны выглядеть данные по виражу на примере самолёта Ла-11 с мотором АШ-82ФН с полётным весом 3996 кг, 29% САХ.

 

1955710683_-11.thumb.png.b022b3de7f7752eced4ed893745be011.png

 

Смотрим, думаем, анализируем, сравниваем данные из фильма НИИ и методических указаниях Ла-5 ?

 

Полностью отчёт тут: https://yadi.sk/i/Dd43o2PGkKUyGA 

 

 

 

  • Нравится 1
Опубликовано:
2 часа назад, Twister26 сказал:

 

Пока, на данный момент, это фейк ньюс из васянского журнала про авиацию, начала 90х, а не отчёт

Ну если для вас вираж на высоте 1000 метров и 5000 метров это одно и тоже, причем на разных самолётах то.....

Очередная демагогия с вашей стороны.

 

 

Я же попросил, ещё раз перечитать мои сообщения в этой теме по этому вопросу. (Подсказка: у меня не вызывают сомнений данные по испытаниям ла-5 от НИИ ВВС)

  • 2 года спустя...
Опубликовано:

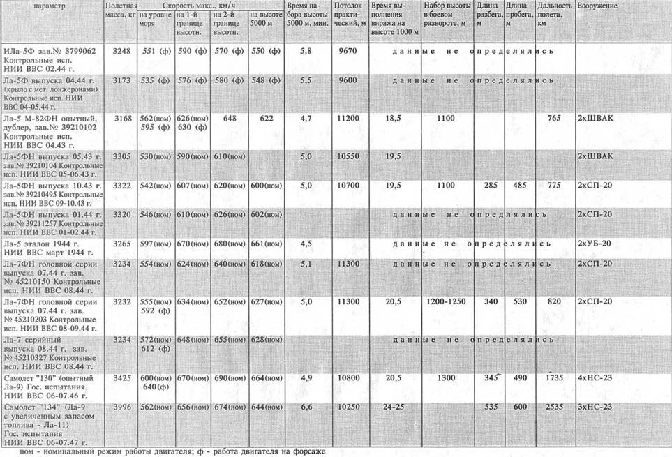
Нашёл ещё два самолёта Ла-5 тип 39, 3-ей серии с моторами 65 (М-82 с АК-82БП) 2-ой серии (М-82ф) Источник ЦАМО.

 

Ла-5 №39210359 с мотором №6502007. 171 ИАП 315 ИАД (08.09.43 НБЗ)

Ла-5 №39210370 с мотором №6502252. 171 ИАП 315 ИАД (08.09.43 НБЗ)

 

Расшифровка номеров моторов М-82 завода №19

65 код мотора (М-82А/Ф) (степень редукции 11/16, 1 - 9/16) 2 серия (моторы первой серии это М-82А, начиная со второй серии М-82Ф) 007, 252 номер мотора в серии.

С М-82ФН тоже самое только код мотора будет 82, а степень редукции или (11/16 и 9/16)

 

5b9a679eebbf9_1.jpg.b61b88b7d0794c8147157a5356397378.thumb.jpg.9e80d4b29f3c35c0949b0f7d5f3a3bd6.jpg5b9a679f64b27_2.jpg.e1e7120dc7ee4f274e0d933a266ee4ac.thumb.jpg.95fa7f419707ed4e6afab50f0360355c.jpg

 

В списках номеров Ла-5 эти самолёты идут как Ла-5ФН, как и тот самолёт Ла-5Ф который был захвачен немцами и отбит. ( на котором виден номер на киле )

 

39210359 ФН №21 03 59 24.04.43 СССР 171-й ИАП сбит 08.09.43
39210364 ФН №21 03 64 1943 СССР 193-й ИАП сбит 14.07.43
39210367 ФН №21 03 67 1943 СССР НИИ ВВС испытания 07.43
39210370 ФН №21 03 70 04.43 СССР 171-й ИАП сбит 08.09.43

http://forums.airforce.ru/do-1945/printfriendly7276/ список

 

Это подтверждает мой тейк про руль высоты на Ла-5фн, который с 1 серии уже был с увеличенной компенсацией и про антенну. На форуме "Тризна" пишут, что эти два Ла-5ф 0359 и 0370 были построены в конце апреля 1943 года.

 

"С завода №21 в Горьком выпущены

21.4.43 Ла-5 №39210342 с мотором №6502067 ( это другой)

24.4.43 Ла-5 №39210359  с мотором №6502007"

 

То есть уже на 24 апреля 1943 года шла 3 серия без гаргротных Ла-5 тип 39 с моторам М-82Ф и был построен 59 самолёт в этой серии!! А 21 апреля построили 42 по счёту самолёт, получается, в среднем  5 самолётов в день. А ведь были ещё первая и вторая серии. В одной серии 100 самолётов.

Если так прикинуть то Ла-5 тип 39 начали производить где то с начала февраля  1943 года. Ла-5фн тогда ещё в планах даже не было, я имею ввиду серийное пр-во. Прототип Ла-5фн "Дублёр"  проходил испытания НИИ ВВС в апреле. А серийный Ла-5фн №39210104 проходил испытания 5 июня 1943 года и руль у него уже был увеличенной компенсации. Короче по датам не сходятся серии Ла-5фн и Ла-5ф 39 типа. Их ни как не могли выпускать в рамках одной серии. К моменту начала серийного выпуска "ФН" завод №21 искусственно завысил серии самолётов с обычным М-82 или объединил их с тип 37.952237093_(2).thumb.png.13aca68cf429fdf4164bc032ac2e1117.png

 

А теперь смотрим на самолёт Ла-5Ф №39213050 который испытывали в НИИ ВВС 7 августа 1943 года и видим, что у него РВ обычный. То есть на завышенных сериях продолжали ставить стандартный руль.

la5f-4.thumb.jpg.bd64d75746cae9cac6dcc5007e0856f3.jpg

 

Вот таблицы с ЛТХ и датами испытаний/постройки и номерами самолётов.

753395786_pic_71(1).jpg.f622c7837be8bd1bf1ebd9334b17913e.jpg

2085637155_pic_72(12).jpg.889ff420284a470434915b421f42f5fb.jpg

 

 

 

 

 

  • Нравится 2
  • Спасибо! 3
  • 1 год спустя...
Опубликовано:

в семейном архиве сохранилась летная книжка деда (воевал на Ла-5, с мая 1943).

Если кому-то из разработчиков интересно, можно оцифровать нужную инфу.

  • Нравится 3
Опубликовано:
4 часа назад, Elf сказал:

в семейном архиве сохранилась летная книжка деда (воевал на Ла-5, с мая 1943).

Если кому-то из разработчиков интересно, можно оцифровать нужную инфу.

А мне можно?:blush:

  • 1CGS
Опубликовано:
6 часов назад, Elf сказал:

в семейном архиве сохранилась летная книжка деда (воевал на Ла-5, с мая 1943).

Если кому-то из разработчиков интересно, можно оцифровать нужную инфу.

 

Привет!

 

Да конечно интересно.  

  • 1 месяц спустя...
Опубликовано:

Viks, привет!

сделал скан всех страниц, напиши в личку email куда отправить.

мой скромный подарок команде разработчиков БзС на 9 мая :)

  • 1CGS
Опубликовано:
2 часа назад, Elf сказал:

Viks, привет!

сделал скан всех страниц, напиши в личку email куда отправить.

мой скромный подарок команде разработчиков БзС на 9 мая :)


Спасибо! :salute:

Опубликовано:
04.04.2023 в 17:39, Sashka1308 сказал:

А мне можно?:blush:

можно)

пиши в личку

  • Спасибо! 1

Создайте аккаунт или войдите в него для комментирования

Вы должны быть пользователем, чтобы оставить комментарий

Создать аккаунт

Зарегистрируйтесь для получения аккаунта. Это просто!

Зарегистрировать аккаунт

Войти

Уже зарегистрированы? Войдите здесь.

Войти сейчас
×
×
  • Создать...