Перейти к публикации

Рекомендованные сообщения

  • 1CGS
Опубликовано:

По теме:

14 часов назад, =SF=Age сказал:

Краткое описание ошибки: Пробитие левого топливного бака на Ju-87D3, вызывает утечку из правого топливного бака.    

Детальное описание ошибки, условия обнаружения: В быстром вылете на встречных курсах пробиваем Ju-87 один из топливных баков. Утечка топлива будет из топливного бака на противоположном крыле. 

Сопроводительные материалы (видео, скриншоты - используйте спойлеры): Трек: 4503 Ju87 Left exchange Right fuel.rar

1371150105_4503_Ju87D3__.thumb.png.63bca9452fb0b37b326e1a0c41de1921.png

Конфигурация вашего компьютера, версия ОС и драйверов, установленное ПО: В подписи.

 

PS. С самой багой все понятно, кроме одного нюанса. В какой топливный бак нужно продолжать стрелять второй/третьей очередью для быстрейшей организации пожара, в тот который пробивался изначально, или в бак из которого рисуется утечка топлива?

Я уже ранее отвечал:

 

@Dobinmg, тут читали? 

 

Опубликовано: (изменено)
1 час назад, -DED-Rapidus сказал:

obinmg, тут читали

"Я знаю, что некоторые из вас не полностью удовлетворены текущей моделью ущерба, поскольку она относится к Первой мировой войне. Недавно мы полностью пересмотрели наш движок модели повреждений , и дальнейшие изменения в ней для Первой мировой войны также повлияют на Вторую мировую войну. Это требует некоторого размышления и большего изучения, но в данный момент я не могу внести дальнейшие изменения только в Первую мировую войну. Я рассматриваю это как долгосрочный проект, чтобы каким-то образом изменить только моделирование повреждений Первой мировой войны. Тем не менее, существуют неоднозначные мнения по этому вопросу. Просто потому, что есть некоторые голословные? критики, не делает самый громкий голос правильным. Как обычно, нам нужно будет изучить этот вопрос еще раз, прежде чем вносить какие-либо изменения.
 
И, наконец, некоторые из вас хотят добавить специальные боеприпасы, такие как зажигательные?. Это опять же общее пожелание для движка(модели повреждений), которое может появиться только позже и потребует большой работы от наших инженеров и отдела спецэффектов. В настоящее время у меня нет ETA на эту тему, но мы хорошо знаем о желании иметь их. 
 
Присоединяйтесь к борьбе! "

 

Присоединяюсь))

 

 

Я вижу только набор общих фраз, говорящий о том, что, некоторые(сетевые? игроки) недовольны, и мы когда нибудь подумаем над всем этим....

Рапидус..тут нет ответа на заданные мной выше вопросы. Есть событие попадания...есть событие повреждения....в либертевой статистике считается и это и то...я попал 16 раз разрывным боеприпасом швак, передо мной чувак попал 14 раз...то есть 30....по словам ветеранов мессеру хватало 2-3. Про сеть опять ни слова.

 

 

Сорян, перевёл как сумел, может какой то смысл упущен?

Изменено пользователем Dobinmg
  • Поддерживаю! 1
  • 1CGS
Опубликовано:

Потому что ранее уже отвечал, что с попаданиями и повреждениями если вы берете их со статистики- идите к автору статистики, либо сами смотрите логи. В IL2Stats вам снизу написано

"Внимание! Алгоритмы сбора статистики IL2 stats отличаются от статистики в игре. Как следствие данная статистика не будет совпадать с игровой."

Это раз, а второе, опять же ранее писал, что пока не будет сдан следующий этап по разработке топливной системы, разговоры о дамаге- бесполезный труд(кстати как и пост выше про течь баков). Мне Вам лично пообещать, что 1 января 2021 все случится и все пойдет? Нет ребята, наберитесь терпения. 
Все.
Опубликовано:
15.12.2020 в 12:38, Skv_Neon сказал:

Возник вопрос по поведению самолётов после потери рулей. 

Самолёты семейства Як без рулей так и должны себя вести (склонность к пикированиюв перевернутом положении) ? 

Плюс интересно почему различное поведение Ла-5 и Ла-5 ФН. 

 

 

 

Предлагаю ВСЕМ провести эксперимент:

Приведите триммер РВ в нулевое положение (обязательное условие).

Начните отвесное пикирование.

Если для сохранения положения Вам приходится давать РУС от себя, то №1, иначе №2:

    №1. Самолёт удерживается на данной траектории за счёт положения рулей высоты "на пикирование". Логично предположить, что при прекращении этого воздействия (отрыв рулевых поверхностей или повреждение тяг управления РВ) самолёт будет стремиться выйти из пикирования.

    №2. Если кто не понял, см. пункт №1.

 

Есть ли необходимость приводить здесь какие-либо формулы/расчёты ???

 

На самом деле этот вопрос мною уже поднимался...

(Начинаю раздумывать, а может сторонники "Глобального заговора" не так уж и не правы и "Дьявол кроется в мелочах"? )

Опубликовано:
1 час назад, Skv_Atos сказал:

    №1. Самолёт удерживается на данной траектории за счёт положения рулей высоты "на пикирование". Логично предположить, что при прекращении этого воздействия (отрыв рулевых поверхностей или повреждение тяг управления РВ) самолёт будет стремиться выйти из пикирования.

Не все так просто.

Во-первых - отрыв рулей приведет не только к тому, что пропадет "момент на пикирование", если толкать ручку от себя - но и к уменьшению площади стабилизатора и соответственно уменьшению его момента, тогда как момент крыла - на пикирование.

Во-вторых - балансировка самолета сильно меняется с ростом скорости, особенно когда мы говорим о диапазоне 0.5М и выше (сжатие и вот это вот все включая "затягивание в пикирование"). То есть вполне возможна картина, что сначала мы изо всех сил держим ручку от себя - а потом по мере роста скорости начинаем ее перемещать к нейтрали или на себя.

Опубликовано:
13.12.2020 в 21:52, 4yk сказал:

это нормально, что после кучи дыр в крыльях, оборванного стабилизатора и т.д. Фока летит, еще и пилотажит?

нормально - с чего должно быть иначе?

  • ХА-ХА 3
Опубликовано:

Ролл Bf-109 в 5,5-6 сек. - это тоже нормально, при чём здесь 4 сек. ?

Опубликовано:
9 часов назад, Skv_Atos сказал:

Ролл Bf-109 в 5,5-6 сек. - это тоже нормально

Нормально, но 109 в реале  может быстрее -- за 4 секунды....

Опубликовано:
17.12.2020 в 20:51, DeadlyMercury сказал:

Не все так просто.

 

Да-да, я знаю про наличие сверхзвука при обтекании рулевых поверхностей и т.д.

Обратите внимание, что при отрыве (потере) РВ или при перебитии тяг РВ... именно моментальный эффект в какую сторону ???

 

ПиСи На Яках, Лавках, Илах при повреждении тяг РВ самолёт ВСЕГДА (!!!) уходит в пикирование, на любых скоростях !

Единственный самолёт (из мною опробованных) - это И-16, который МОЖЕТ лететь при повреждении тяг РВ. И то, есть косяк: при увеличении тяги он опускает нос, а при уменьшении - поднимает. Пипец!!! Вот разрабы намутили! 

Опубликовано:
3 минуты назад, Skv_Atos сказал:

ПиСи На Яках, Лавках, Илах при повреждении тяг РВ самолёт ВСЕГДА (!!!) уходит в пикирование, на любых скоростях !

Ну на самом деле не всегда, зависит от положения триммера и обдувки (тяги как раз, которая у вас вызывает удивление).

  • Поддерживаю! 1
Опубликовано: (изменено)
21.12.2020 в 16:31, DeadlyMercury сказал:

Ну на самом деле не всегда, зависит от положения триммера и обдувки (тяги как раз, которая у вас вызывает удивление).

 

Позвольте с Вами НЕ СОГЛАСИТЬСЯ !

Именно, что ВСЕГДА !

Не стал бы заострять внимание, если бы не был выявлен описанный выше факт! И здесь установки триммеров РВ, изменение тяги силовой установки, изменение скорости НИКАК не влияет на пикирующий эффект ( даже переворачивал самолёт (полубочка), один "хер" - тянет к земле)...

Где-то есть видео (если Вас заинтересует, то поищу), как на моём Яке без ВСЕХ управляющих поверхностей (без РВ, элеронов, РН) работает крутящий момент винта и спиралевидное обтекание самолёта от потока воздуха от винта. (А НИКАК НЕ РАБОТАЕТ !!!)

 

Вы правы в том, что "...зависит от положения триммера и обдувки (тяги как раз, которая у вас вызывает удивление)...". Но и я понимаю, что так ДОЛЖНО БЫТЬ ! А если ТАК не происходит (в этом симуляторе) ???

Изменено пользователем Skv_Atos
Опубликовано:

Ну тем не менее, вы не правы. Если на иле выкрутить триммер на кабрирование и затем прострелить тяги - он уйдет в кабрирование.

ЕМНИП такую фигню разработчики поясняли особенностями управления с русом без ффб и с ффб (что они еще и себя по-разному ведут).

 

"НИКАК НЕ РАБОТАЕТ" - на шарик посмотрите...

  • 2 недели спустя...
Опубликовано:

kmplayer 2021-01-06 12-09-56.png

Предложение по исправлению визуализации отображения прицельной сетки на Як-1Б (как-то так ))).

Причины: при нормальном положении пилота в кабине самолёта - на Як-1Б прицел смещён.

Коротко, в скрине.

 

Опубликовано:
53 минуты назад, Skv_Atos сказал:

kmplayer 2021-01-06 12-09-56.png

Предложение по исправлению визуализации отображения прицельной сетки на Як-1Б (как-то так ))).

Причины: при нормальном положении пилота в кабине самолёта - на Як-1Б прицел смещён.

Коротко, в скрине.

 

смести как надо и сохрани 

  • Спасибо! 1
Опубликовано: (изменено)
2 часа назад, Skv_Atos сказал:

Причины: при нормальном положении пилота в кабине самолёта - на Як-1Б прицел смещён.

На самом деле оно у вас не нормальное.

И в первую очередь - на всех самолетах дефолтная камера стоит по центру прицела (в том числе на мессерах и фоках, где прицел стоит сбоку - пилот получается не по середине кабины), а у вас явно ваш вид сохранен. 

При этом чтобы поставить пилота по центру кабины - надо обращать внимание на остекление кабины и борта: на вашем скрине посмотрите на борта слева и справа - левый борт "длиннее" и приходит в угол скриншота, правый короче и приходит выше угла, это говорит о боковом смещении камеры. При центральном положении камеры (относительно кабины, но не обязательно прицела, если прицел не стоит по центру кабины!) у вас должна наблюдаться полная симметрия с левой и правой стороны при любых углах обзора.

Скрытый текст

Идеальная симметрия переплета на як-1б при дефолтном положении камеры:

3WPJGM5.jpg

LlRyYrJ.jpg

ZQ8yTdE.jpg

 

Неидеальная симметрия на fw при ручном выставлении камеры по центру кабины:

fjr39eo.jpg

5JwNnTG.jpg

 

Но в случае яка возможно проще будет не вручную камеру по центру выставлять - а восстановить дефолтный вид и потом с ним работать.

Изменено пользователем DeadlyMercury
Опубликовано:

При аварийной посадке Ме-109 у него торчат покрышки через крыло

571.jpg

Опубликовано:
22 часа назад, Shmel сказал:

смести как надо и сохрани 

 

Cпасибо, мил человек, так и оказалось!!!

(Думал, что сохранение взгляда работает только по вектору ближе-дальше, поэтому решил, что "что-то" сломалось...)

Ещё раз СПАСИБО !

Опубликовано: (изменено)

Краткое описание ошибки:

Разгонные характеристики самолетов в игре не соответствуют реальным и расчетным данным.

Детальное описание ошибки, условия обнаружения:

Для некоторых самолетов обнаружено существенное расхождение во времени разгона между игрой и данными документов, а также между игрой и расчетом по методикам РДК(руководство для конструкторов)-43, БНТ(бюро новой техники при наркомате авиационной промышленности 1944) и профессора Александрова ".

Условия обнаружения: проведение экспериментальных вылетов для этих типов самолетов в игре и сопоставление полученных значений с расчетными и приведенными в отчетах.

Методика: вес при тестах подобран заправкой и анлоками для соответствия расчету, режимы двигателя в соответствии с расчетом. Карта осень Москва = условиям атмосферы MCA. Скорость пересчитывалась из приборной так Vист = Vприб/0,95.

Сопроводительные материалы (видео, скриншоты) :  https://yadi.sk/d/vlIDujJOI7BphQ.

Конфигурация вашего компьютера, версия ОС и драйверов, установленное ПО: Не имеет значения.

__________________________________________________________________________________________

Разгон самолета.

image.png.500697afe49a89db58b1b28b3c4df9d9.png

 

Александров показал, что время разгона от скорости V0 до скорости V можно определить по формуле:

image.png.51c0015896e8a5583f008185de8ccb21.png

 

при известных значениях  максимальной скорости и массы самолета.

Величина коэффициента «А» определяется геометрически по так называемым «кривым Пено»:

image.png.1a8bf113ac40941f47358498caeaa3cb.png

 

Кривыми Пено принято называть зависимость располагаемой тяги и сопротивления самолета от скорости.

 

Используя эти источники:

image.thumb.png.488520c66a8399496490ec729a6140e9.png1852419586_107.jpg.25b8d5a0df4b7eadfb8279ac79b21bcb.jpg

 

«Альбом схем и чертежей самолета Як-7», ТО М-105 и характеристики ВИШ-61П из РДК-43    построены  кривые Пено и определили значение «А» для некоторых самолетов игры:

 

Р-39

image.png.e362056dfdac5624f918b9266770f59b.png

Як-7Б с мотором М-105ПФ

image.png.93cfcf6581caba697481d1fb14919196.png

Bf-109F2

image.png.af60bae2055a00d25e2590e9f6f5e07b.png

Bf-109G2

image.png.04282107210613e004cf7ef189b127e0.png

Р-40Е  Киттихаук

image.png.f479355b70398b8d98ef436168232551.png

Як-9 с мотором М-105ПФ

image.png.e0ae030df66cb2aedb0b177554e3be16.png

И-16 тип 24:

image.png.147802c78360019b3d5bf2f8efb81cb0.png

 

Самолет ФВ-190 требует некоторой оговорки. Поскольку Vmax в игре (561 км/ч) отличается от полученной по расчету в БНТ ( 527 км/ч, вероятно из-за принятого для расчета винта ВИШ-61П вместо винта DKV), то для выводов по нему недостаточно данных, так как в немецких исходниках содержится максимальная скорость для 1000м в 565км/ч:

 

image.png.2d68b04536d8a386ecddddb7af52c7d3.png

Имея значения «А» несложно рассчитать по приведенной выше формуле 10’ время разгона  t2 от скорости V=0,7Vmax  до V=0,95Vmax

для этих самолетов ( Густав посчитан для «пятиточечного» и «трехточечного» вариантов).

image.png.b869c4cd08664f5138b423be5f02c5a0.png

Можно ли верить полученным значениям времени?

 В книге Степанца «Истребители Як периода Великой отечественной Войны»

885721277_.jpg.1ff2ee908a93e53069d0c16314b78910.jpg

 

есть такая таблица:

375467692_.jpg.b1030cc2003ae0fa0ca2d7821721f4fc.jpg

 

В отчете по испытаниям G2 в Финляндии:

image.png.2908f0580c552106143b8ea7f3f6aae4.png

 

значения времени разгона в которых  хорошо верифицируют расчет:

image.png.fbeb61a52e32cfb0b237247d84cfba62.png

 

Расчет, кроме того, позволил найти и исправить предположительную опечатку в книге Степанца.    ( При верстке у времени разгона пятиточечного Густава вероятно потеряна цифра «8» ) 0,87 мин,- это то время разгона, которое должно было бы быть в таблице у Степанца.

Теперь проверяем разгон в игре. Массы самолетов  и режимы работы ВМГ подбираем аналогичные взятым  для расчета кривых Пено.  Высота 1000м, карта «Москва», осень. Сначала определяем максимальную скорость для этих условий, и фиксируем время разгона от V=0,7Vmax  до V=0,95Vmax .

 

image.png.80feb099480785547406b81941bd12bb.png

 

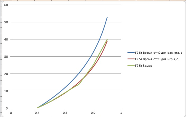
Для определения отклонения кривых разгона по расчету согласно статьи Александрова, по значению «А», рассчитанному из данных разгона в игре и полученных непосредственно замером ( для 0,7, 0,7125 , 0,75 , 0,80 , 0,85 , 0,90 , 0,95 Vmax)  построены графики для части самолетов:

image.png.4827a91fbfcc540dd71a1720b0cca494.pngimage.png.a4a3aa4501be87fc585b266040ec6c6a.pngimage.png.514b6c3fd95611352d11bab1b804e997.pngimage.png.9a8d2ecc85686ddd9937026f9a4f3830.pngimage.png.61721a4253b8b56cbb3ad58b9732881f.png

 

Синий график,- расчет по Александрову, красный,- расчет по «А», полученному из замеров в игре на участке 0,7-0,95 Vmax, зеленый,- замер в игре.

Из приведенных материалов следует, что разгон некоторых самолетов в игре значительно отличается от расчетного по методике РДК-43 и профессора Александрова, и кроме того, отличается от данных приводимых Степанцом и финским отчетом по Bf-109G2.

 

Изменено пользователем Dobinmg
  • Нравится 4
  • Поддерживаю! 16
  • 2 недели спустя...
Опубликовано:

Не знаю, в правильную ли ветку пишу, но у меня в текущей версии что-то не отображаются никакие повреждения на грузовых автомобилях от пулемётного огня. То есть, попадания-то засчитываются, техника фиксируется как уничтоженная, но ни огня, ни дыма при этом не генерирует. Наблюдал в двух оффлайновых кампаниях: Московское небо и Cambrai. Это у меня одного так?

Опубликовано: (изменено)
18.01.2021 в 01:00, Dornil сказал:

Это у меня одного так?

У всех.  Поражение водителя или важного узла считает машину выбывшей из строя. Так же и с танками. Можно бронебойными снарядами пробить боковую броню и поразить механика- водителя. При остальном "целом" внешнем виде игра при этом считает танк уничтоженным. 

Изменено пользователем 72AG_kalter
Опубликовано:
2 часа назад, 72AG_kalter сказал:

Поражение водителя или важного узла считает машину выбывшей из строя.

А поджечь её пулемётами вообще возможно? А то мне пока в плане визуала из полутора десятков убитых грузовиков удалось добиться только струйки пара из радиатора у парочки.

  • 2 недели спустя...
Опубликовано: (изменено)

С патча 4.502 (возможно 4.501 еще проверить) у всех Fw-190 A3-A8 стали очень быстро перемещаться стабилизаторы, где-то на 50% быстрее, можно сказать, что и раньше  он резко перемещался, но я хорошо увидел разницу,  что стало перемещаться быстрее. Перемещение от 0% до +30+40% было контролируемым, можно было легко добавить +5-7% значения, сейчас поймать эти 5-7% очень сложно, за это время теперь добавляется на 10-15% почти.

Так же раньше можно было выставить +95% стаб (по техночату) и некоторые другие значение типа 15 25 35% и тд, сейчас точно 95 выставить нельзя, возможно и некоторые другие значения. Проверьте, стаб он стал быстрее ощутимо, в описаниях к обновлениям про него речи не было.

Про Fw-190 D9 говорить не могу, может и на нем повлияло.

Изменено пользователем JGr8_Leopard
  • 4 недели спустя...
Опубликовано:
09.01.2021 в 16:18, Dobinmg сказал:

Краткое описание ошибки:

Разгонные характеристики самолетов в игре не соответствуют реальным и расчетным данным.

Детальное описание ошибки, условия обнаружения:

Для некоторых самолетов обнаружено существенное расхождение во времени разгона между игрой и данными документов, а также между игрой и расчетом по методикам РДК(руководство для конструкторов)-43, БНТ(бюро новой техники при наркомате авиационной промышленности 1944) и профессора Александрова ".

Условия обнаружения: проведение экспериментальных вылетов для этих типов самолетов в игре и сопоставление полученных значений с расчетными и приведенными в отчетах.

Методика: вес при тестах подобран заправкой и анлоками для соответствия расчету, режимы двигателя в соответствии с расчетом. Карта осень Москва = условиям атмосферы MCA. Скорость пересчитывалась из приборной так Vист = Vприб/0,95.

Сопроводительные материалы (видео, скриншоты) :  https://yadi.sk/d/vlIDujJOI7BphQ.

Конфигурация вашего компьютера, версия ОС и драйверов, установленное ПО: Не имеет значения.

__________________________________________________________________________________________

Разгон самолета.

image.png.500697afe49a89db58b1b28b3c4df9d9.png

 

Александров показал, что время разгона от скорости V0 до скорости V можно определить по формуле:

image.png.51c0015896e8a5583f008185de8ccb21.png

 

при известных значениях  максимальной скорости и массы самолета.

Величина коэффициента «А» определяется геометрически по так называемым «кривым Пено»:

image.png.1a8bf113ac40941f47358498caeaa3cb.png

 

Кривыми Пено принято называть зависимость располагаемой тяги и сопротивления самолета от скорости.

 

Используя эти источники:

image.thumb.png.488520c66a8399496490ec729a6140e9.png1852419586_107.jpg.25b8d5a0df4b7eadfb8279ac79b21bcb.jpg

 

«Альбом схем и чертежей самолета Як-7», ТО М-105 и характеристики ВИШ-61П из РДК-43    построены  кривые Пено и определили значение «А» для некоторых самолетов игры:

 

Р-39

image.png.e362056dfdac5624f918b9266770f59b.png

Як-7Б с мотором М-105ПФ

image.png.93cfcf6581caba697481d1fb14919196.png

Bf-109F2

image.png.af60bae2055a00d25e2590e9f6f5e07b.png

Bf-109G2

image.png.04282107210613e004cf7ef189b127e0.png

Р-40Е  Киттихаук

image.png.f479355b70398b8d98ef436168232551.png

Як-9 с мотором М-105ПФ

image.png.e0ae030df66cb2aedb0b177554e3be16.png

И-16 тип 24:

image.png.147802c78360019b3d5bf2f8efb81cb0.png

 

Самолет ФВ-190 требует некоторой оговорки. Поскольку Vmax в игре (561 км/ч) отличается от полученной по расчету в БНТ ( 527 км/ч, вероятно из-за принятого для расчета винта ВИШ-61П вместо винта DKV), то для выводов по нему недостаточно данных, так как в немецких исходниках содержится максимальная скорость для 1000м в 565км/ч:

 

image.png.2d68b04536d8a386ecddddb7af52c7d3.png

Имея значения «А» несложно рассчитать по приведенной выше формуле 10’ время разгона  t2 от скорости V=0,7Vmax  до V=0,95Vmax

для этих самолетов ( Густав посчитан для «пятиточечного» и «трехточечного» вариантов).

image.png.b869c4cd08664f5138b423be5f02c5a0.png

Можно ли верить полученным значениям времени?

 В книге Степанца «Истребители Як периода Великой отечественной Войны»

885721277_.jpg.1ff2ee908a93e53069d0c16314b78910.jpg

 

есть такая таблица:

375467692_.jpg.b1030cc2003ae0fa0ca2d7821721f4fc.jpg

 

В отчете по испытаниям G2 в Финляндии:

image.png.2908f0580c552106143b8ea7f3f6aae4.png

 

значения времени разгона в которых  хорошо верифицируют расчет:

image.png.fbeb61a52e32cfb0b237247d84cfba62.png

 

Расчет, кроме того, позволил найти и исправить предположительную опечатку в книге Степанца.    ( При верстке у времени разгона пятиточечного Густава вероятно потеряна цифра «8» ) 0,87 мин,- это то время разгона, которое должно было бы быть в таблице у Степанца.

Теперь проверяем разгон в игре. Массы самолетов  и режимы работы ВМГ подбираем аналогичные взятым  для расчета кривых Пено.  Высота 1000м, карта «Москва», осень. Сначала определяем максимальную скорость для этих условий, и фиксируем время разгона от V=0,7Vmax  до V=0,95Vmax .

 

image.png.80feb099480785547406b81941bd12bb.png

 

Для определения отклонения кривых разгона по расчету согласно статьи Александрова, по значению «А», рассчитанному из данных разгона в игре и полученных непосредственно замером ( для 0,7, 0,7125 , 0,75 , 0,80 , 0,85 , 0,90 , 0,95 Vmax)  построены графики для части самолетов:

image.png.4827a91fbfcc540dd71a1720b0cca494.pngimage.png.a4a3aa4501be87fc585b266040ec6c6a.pngimage.png.514b6c3fd95611352d11bab1b804e997.pngimage.png.9a8d2ecc85686ddd9937026f9a4f3830.pngimage.png.61721a4253b8b56cbb3ad58b9732881f.png

 

Синий график,- расчет по Александрову, красный,- расчет по «А», полученному из замеров в игре на участке 0,7-0,95 Vmax, зеленый,- замер в игре.

Из приведенных материалов следует, что разгон некоторых самолетов в игре значительно отличается от расчетного по методике РДК-43 и профессора Александрова, и кроме того, отличается от данных приводимых Степанцом и финским отчетом по Bf-109G2.

 

Полтора месяца прошло. Какие нибудь комментарии со стороны разработчиков будут?

  • Поддерживаю! 6
Опубликовано:

Мне кажется в таких стремлениях получить реальное сравнение крафтов в игре кроется большая проблема. слишком велико влияние технологии изготовления (и уровня эксплуатации) на искажение расчетных параметров. Особенно это касается советских самолетов. Известно насколько они отличались от заявленных ТТД и что этот разрыв частично компенсировался в ходе войны. (Или вот отличие игры от реала: лавка, лето - в кабине жара и выхлопные газы - советский пилот вынужденно открывает фонарь и.. не может догнать мессер.)  

Правильнее было бы взять и сравнить фронтовые самолеты  во время войны в одной степени изношенности и повреждений. Этого не было и не могло быть сделано, не до того было. Можно лишь опираться на мемуары. В них мы видим часто как наш более скоростной по ТТД ФН не может догнать Г2 и т.п.. А другой догоняет. Также испытания трофейной техники дают совсем иные показатели, чем по ТТД (но т.к. испытания проводятся во время войны ТТД не известны и результаты принимаются за истину, хотя техника м.б. или повреждена или испытывалась неадекватно). 

Так вот, первый вопрос это желаем ли мы иметь в симуляторе крафты чисто по паспортным или даже расчетным ТТД, но тогда это будет другая война или их корректировать в сторону мемуарных характеристик , но тогда останется вопрос что мы ушли в реал а не в субъективность. 

 

Опубликовано:
5 минут назад, Uran14 сказал:

Так вот, первый вопрос это желаем ли мы иметь в симуляторе крафты чисто по паспортным или даже расчетным ТТД, но тогда это будет другая война или их корректировать в сторону мемуарных характеристик , но тогда останется вопрос что мы ушли в реал а не в субъективность.

Логика есть, но... если даже по паспортным ТТХ и их соотношению у кого-то периодически возникают вопросы, то вводя различные коэффициенты вообще никогда не будет консенсуса. И уж точно мемуары не тот источник, по которому можно строить ФМ.

Опубликовано:

Не подскажете, менялось ли что-то в прочности стабилизаторов Ил-2 1941 г.  Уже второй раз после последнего обновления игры происходит отрыв половины стабилизатора на Иле. До этого таких проблем не встречалось. После пологого снижения метров на 200 при выходе в горизонтальный полет происходит резкий рывок по тангажу и в дальнейшем болтанка по тангажу. Осмотром обнаруживается облом половинки стабилизатора примерно на середине размаха. Встречалось такое только на финском сервере.

Опубликовано:
5 часов назад, FoxbatRU сказал:

И уж точно мемуары не тот источник, по которому можно строить ФМ.

Это да, т.к. мемуары еще более разнятся чем источники ТТД. Но как быть в принципе например с ФН и Г-2: 

По ТТД ФН быстрее, НО «В реальном воздушном бою превосходство над немцами в скорости в 1943г. не имели даже Ла-5ФН! Ведь, как и раньше, многочисленные конструктивные и производственные дефекты не позволяли советским истребителям развивать в бою ту же скорость, что и на испытаниях в НИИ ВВС."

Какую концепцию (идеологию даже!) игры принять разработчикам? 

 

Опубликовано:
5 часов назад, Uran14 сказал:

Правильнее было бы взять и сравнить фронтовые самолеты  во время войны в одной степени изношенности и повреждений. Этого не было и не могло быть сделано, не до того было. Можно лишь опираться на мемуары. В них мы видим часто как наш более скоростной по ТТД ФН не может догнать Г2 и т.п.. А другой догоняет.

Давайте человеческий фактор, и неисправности к игре прикрутим. Твой мемуарист всё описал что сделал в тот момент когда не смог догнать Месс.? На сколько у него были открыты створки радиаторов? До конца он убрал закрылки? В каком положении находились триммера? Какие обороты и шаг винта? Все ли цилиндры на двигателе работали исправно? Вот если хотя бы эти данные будут в мемуарах, то тогда можно было бы посматривать в их сторону по поводу ЛТХ. Мемуары это рассказ человека о событиях в прошлом, с опорой на личное мнение. 

  • Поддерживаю! 3
Опубликовано:

C-47

 

Почему то всегда топливо течет из правой плоскости, даже если стрелять только в левую

  • Спасибо! 1
  • 1CGS
Опубликовано:
26.02.2021 в 13:27, multik71 сказал:

Полтора месяца прошло. Какие нибудь комментарии со стороны разработчиков будут?

Будут.

28.02.2021 в 03:16, 72AG_SerWolf сказал:

C-47

 

Почему то всегда топливо течет из правой плоскости, даже если стрелять только в левую

Спасибо, глянем.

Опубликовано:
27.02.2021 в 17:08, multik71 сказал:

Давайте человеческий фактор, и неисправности к игре прикрутим. 

То есть в игре должна была бы быть оговорена концепция: "Игра не имеет целью достоверно отражать реальные воздушные сражения 2МВ, но является аркадной игрой лишь по внешнему виду и ожидаемым физическим расчетным показателям моделей, соответствующих самолетам того времени. " И проблема закрыта. 

  • 1 месяц спустя...
Опубликовано: (изменено)

Привет

Желаю тебе удачи сегодня.

Я пытаюсь перевести это на русский язык, пожалуйста, простите меня, если это неточно.

Во-первых, я скажу, что многие из нас глубоко признательны за ваш упорный труд над нашей замечательной игрой. Это было здорово для моего психического здоровья в течение этого прошлого года, поскольку у нас еще один трудный год! Это был отличный побег - полететь с друзьями и ненадолго забыть о реальной жизни.

Как я уверен, об этом уже упоминалось. Некоторые из нас чувствовали, что некоторые пулеметы слишком слабы против самолетов.

Если у вас есть минутка, могу ли я связать вас с изменением рассеивания пуль, которое, похоже, помогло?

Я чувствовал, что если бы я потратил время на перевод, это сделало бы его более быстрым и легким для просмотра.

Если это то, на что у вас нет времени или что вы видели и не считаете, что это правильно, я понимаю


С нетерпением жду Spitfire и изменений карты, которые сегодня дразнят в DD.

Спасибо

Изменено пользователем Denum
Опубликовано:

Краткое описание ошибки: Не полностью восстановленный самолет после ремонта
Детальное описание ошибки, условия обнаружения: В бою самолет получил повреждения шасси - было утрачено правое колесо и часть обтекателя правой стойки шасси. После посадки самолет скапотировал и перевернулся. Был выполнен ремонт. Визуально (из кабины) все выглядело целым. После взлета почувствовав, что самолет ведет себя "не так", была осуществлена посадка и повторный ремонт. Проблема не была устранена. После анализа трека было понятно, что не был отремонтирован обтекатель правой стойки шасси. Такая же сама ситуация случилась со 2-м самолетом на этом же аэродроме в тот же период времени - он в бою потерял полностью обтекатель левой стойки шасси и частично правой. После капотирования и переворота левая стойка шасси была полностью утрачена, правая осталась. После ремонта шасси было восстановлено до того состояние, которые было перед посадкой.
Сопроводительные материалы (видео, скриншоты - используйте спойлеры):

Spoiler

 

Конфигурация вашего компьютера, версия ОС и драйверов, установленное ПО: в подписи

 

  • Спасибо! 1
  • 4 недели спустя...
  • 1CGS
Опубликовано:
17.04.2021 в 19:03, WG_Muskat сказал:

Краткое описание ошибки: Не полностью восстановленный самолет после ремонта

Поставили в задачи на исправление, спасибо.

  • Спасибо! 1
  • 2 недели спустя...
Опубликовано:

Модель повреждений  FW-190 

 

  • Поддерживаю! 2
Опубликовано:

И что с ней не так? опять не дамажуть? Мне вчера прилетел один снаряд и все-аллес капут-в землю.Может здесь не дамаг а более широкая проблема-сеть потеря пакетов и вся эта сетевая хрень виноваты?.

Что то никто не замечает бетонных самолетов Лавочина...

  • ХА-ХА 1
  • Поддерживаю! 6
Опубликовано:

У синих при нескольких зияющих дырах в одном крыле не так лихо заваливает на бок, особенно у Фок.   

1 час назад, =LwS=L_vvVitaliy сказал:

Что то никто не замечает бетонных самолетов Лавочина...

А Лавке, не говоря уже про Яки - одной плюхи в крыло хватает, чтобы только кое как удерживать самолет в горизонтальном полете.

1 час назад, =LwS=L_vvVitaliy сказал:

И что с ней не так? опять не дамажуть? Мне вчера прилетел один снаряд и все-аллес капут-в землю.

Конечно не дамажуть.  На Яке надо весь комплект вбить в Фоку, чтобы завалить, как правило.

17.04.2021 в 05:50, Denum сказал:

Как я уверен, об этом уже упоминалось. Некоторые из нас чувствовали, что некоторые пулеметы слишком слабы против самолетов.

 

Шкасы 7,62 на Яках - это просто бутафория. Можно в упор расстелять все эти "пульки" и по мотору и по фюзеляжу, в итоге - легкий дымок с радиаторов => противник дошел 3 квадрата и сел на свой филд.    Чтобы от них что-либо загорелось - в последние полгода ни разу не наблюдал (раньше, может с год и более назад  - время от времени случалось, даже с небольшой очереди в мотор или бак).

Как же Штуки жгут и вырубают моторы с 7,92 с крохотного попадания?   Загадка...

 

  • Нравится 2
  • Поддерживаю! 9
Опубликовано:
20 минут назад, Angriff сказал:

У синих при нескольких зияющих дырах в одном крыле не так лихо заваливает на бок, особенно у Фок.   

 

 

 

 

Везет людям . А мне какие то бракованные месюки и фоки попадаются - не то что зияющие дыры , просто посеченное крыло чувствуется .Не очень критично , но проблемы есть . 

  • Поддерживаю! 1

Создайте аккаунт или войдите в него для комментирования

Вы должны быть пользователем, чтобы оставить комментарий

Создать аккаунт

Зарегистрируйтесь для получения аккаунта. Это просто!

Зарегистрировать аккаунт

Войти

Уже зарегистрированы? Войдите здесь.

Войти сейчас
×
×
  • Создать...